43 label parts of a nucleotide
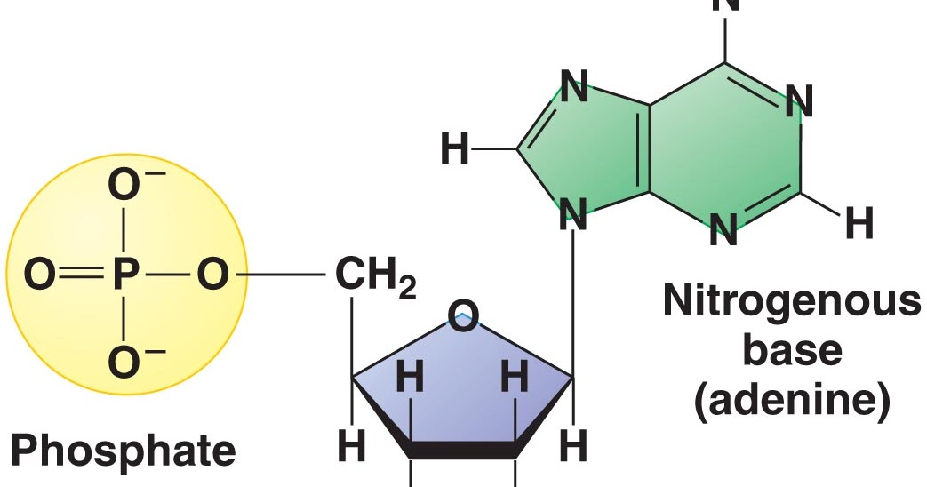
9.1 The Structure of DNA The DNA molecule is a polymer of nucleotides. Each nucleotide is composed of a nitrogenous base, a five-carbon sugar (deoxyribose), and a phosphate group. There are four nitrogenous bases in DNA, two purines (adenine and guanine) and two pyrimidines (cytosine and thymine). A DNA molecule is composed of two strands. The genetic code & codon table (article) | Khan Academy Most codons specify an amino acid. Three "stop" codons mark the end of a protein. One "start" codon, AUG, marks the beginning of a protein and also encodes the amino acid methionine. Codons in an mRNA are read during translation, beginning with a start codon and continuing until a stop codon is reached. mRNA codons are read from 5' to 3' , and ...
Nucleic acids (article) | Khan Academy Each nucleotide is made up of three parts: a nitrogen-containing ring structure called a nitrogenous base, a five-carbon sugar, and at least one phosphate group. The sugar molecule has a central position in the nucleotide, with the base attached to one of its carbons and the phosphate group (or groups) attached to another.

Label parts of a nucleotide
How do you draw a nucleotide and label its three basic parts? How do you draw a nucleotide and label its three basic parts? Biology Molecular Biology Basics Nucleic Acids 1 Answer Maxwell Jul 19, 2017 See below Explanation: The above structure is a nucleotide. It consists of a: phosphate group 5-carbon sugar, and nitrogenous base. Answer link Nucleotide A nucleotide consists of a sugar molecule (either ribose in RNA or deoxyribose in DNA) attached to a phosphate group and a nitrogen-containing base. The bases used in DNA are adenine (A), cytosine (C), guanine (G) and thymine (T). In RNA, the base uracil (U) takes the place of thymine. 3 Parts of a Nucleotide and How They Are Connected Both deoxyribonucleic acid (DNA) and ribonucleic acid (RNA) are made up of nucleotides which consist of three parts: Nitrogenous Base Purines and pyrimidines are the two categories of nitrogenous bases. Adenine and guanine are purines. Cytosine, thymine, and uracil are pyrimidines.
Label parts of a nucleotide. 9.1 The Structure of DNA - Concepts of Biology | OpenStax Now let's consider the structure of the two types of nucleic acids, deoxyribonucleic acid (DNA) and ribonucleic acid (RNA). The building blocks of DNA are nucleotides, which are made up of three parts: a deoxyribose (5-carbon sugar), a phosphate group, and a nitrogenous base ( Figure 9.3 ). There are four types of nitrogenous bases in DNA. What Are the Three Parts of a Nucleotide? The three parts of a nucleotide are the base, the sugar, and the phosphate. Nucleotides are the building blocks of DNA (2′-deoxyribonucleic acid) and RNA (ribonucleic acid). DNA and RNA code genetic information, transport energy throughout cells, and serve as cell signaling molecules. 2.6: DNA and RNA Flashcards | Quizlet A nucleotide has three component parts: 1. a nitrogenous base 2. A 5-carbon sugar (ribose or deoxyribose) 3. A phosphate group Identify and label carbons by number (for example, C1, C2, C3) on a nucleotide drawing. Understanding: The nucleic acids DNA and RNA are polymers of nucleotides. DNA function & structure (with diagram) (article) | Khan Academy All four nucleotides (A, T, G and C) are made by sticking a phosphate group and a nucleobase to a sugar. The sugar in all four nucleotides is called deoxyribose. It's a cyclical molecule—most of its atoms are arranged in a ring-structure. The ring contains one oxygen and four carbons.
Methods for Labeling Nucleic Acids Summary of nucleic acid labeling methods. 1. 5′ end-labeled primers can be used with this method in order to add a 5′ modification to a DNA probe. 2. Modified nucleotides can be added to the 3′ recessed-end of double-stranded DNA during fill-in reactions. 3. The 5 Kinds of Nucleotides Are Polymers Made Up of 3 Parts The five bases are adenine, guanine, cytosine, thymine, and uracil, which have the symbols A, G, C, T, and U, respectively. The name of the base is generally used as the name of the nucleotide, although this is technically incorrect. The bases combine with the sugar to make the nucleotides adenosine, guanosine, cytidine, thymidine, and uridine. Nucleotide Nucleotides are organic molecules composed of a nitrogenous base, a pentose sugar and a phosphate. They serve as monomeric units of the nucleic acid polymers - deoxyribonucleic acid (DNA) and ribonucleic acid (RNA), both of which are essential biomolecules within all life-forms on Earth. Micro 261 Exam 1- Chapter 4 Mastering Questions Correctly label the steps/parts in this diagram representing the central dogma of molecular biology. The functional unit of genetic information is the gene In all cells, genes are composed of nucleic acids The flow of biological information begins with DNA replication DNA participates in protein synthesis through an RNA intermediate
What are the Three Parts of a Nucleotide? Nucleotides are made up of 3 parts. The first is a distinct nitrogenous base, which is adenine, cytosine, guanine or thymine. In RNA, thymine is replaced by uracil. These nitrogenous bases are either purines or pyrimidines. Base pairs are formed when adenine forms a hydrogen bond with thymine, or cytosine forms a hydrogen bond with guanine. DNA structure and replication review Nucleotide: Building block of nucleic acids: Double helix: Structure of two strands, intertwining around an axis like a twisted ladder: DNA replication: Process during which a double-stranded DNA molecule is copied to produce two identical DNA molecules: Base pairing: Principle in which the nitrogenous bases of the DNA molecules bond with one ... What Are the Three Main Parts of a Nucleotide? Three Parts of Nucleotide. The sugar component of the nucleotides is a five-carbon sugar. Deoxyribose or 2-deoxyribose is the five-carbon sugar that is found in DNA, whereas ribose is found in RNA. The primary difference between the two sugars is the replacement of hydroxyl group by hydrogen at the 2' position in deoxyribose. The sugars are ... Nucleic Acids Flashcards - Base implies one of the nitrogenous bases ( adenine, guanine, cytosine, thymine). - One nucleotide is composed of a base, a deoxyribose sugar, and a phosphate. - There are four types of nucleotides because there are four types of bases. Explain how the structure of DNA is important to its function as an information storage molecule.
Nucleotides and the double helix A single nucleotide is composed of three functional groups: a sugar, a triphosphate, and a nitrogenous (nitrogen-containing) base, as shown below. Note that in the figures drawn in this unit, each unlabeled vertex of a structure represents a carbon atom. The sugar found in DNA is a variant of the five-carbon sugar called ribose.
Nucleotide - Definition, Structure (3 Parts), Examples & Function A nucleotide is an organic molecule that is the building block of DNA and RNA. They also have functions related to cell signaling, metabolism, and enzyme reactions. A nucleotide is made up of three parts: a phosphate group, a 5-carbon sugar, and a nitrogenous base. The four nitrogenous bases in DNA are adenine, cytosine, guanine, and thymine.
3 Parts of a Nucleotide and How They Are Connected Both deoxyribonucleic acid (DNA) and ribonucleic acid (RNA) are made up of nucleotides which consist of three parts: Nitrogenous Base Purines and pyrimidines are the two categories of nitrogenous bases. Adenine and guanine are purines. Cytosine, thymine, and uracil are pyrimidines.
Nucleotide A nucleotide consists of a sugar molecule (either ribose in RNA or deoxyribose in DNA) attached to a phosphate group and a nitrogen-containing base. The bases used in DNA are adenine (A), cytosine (C), guanine (G) and thymine (T). In RNA, the base uracil (U) takes the place of thymine.
How do you draw a nucleotide and label its three basic parts? How do you draw a nucleotide and label its three basic parts? Biology Molecular Biology Basics Nucleic Acids 1 Answer Maxwell Jul 19, 2017 See below Explanation: The above structure is a nucleotide. It consists of a: phosphate group 5-carbon sugar, and nitrogenous base. Answer link
Komentar
Posting Komentar